Zeitgemäßer Detektorempfang
Berechnung, Bau und Messung von Detektorempfängern
von Ingenieur Herbert G. Mende
Ein Funkschau-Sonderdruck, erschienen 1947

Im Anfang war der Detektorempfänger
Zu einer Zeit, als es noch keine Röhren gab, war er der Empfänger schlechthin.
In wirtschaftlichen Notjahren wurde er das Gerät des Arbeitslosen oder des jungen Bastlers, das neben seiner Billigkeit und Unabhängigkeit von äußeren Stromquellen eine unerreichte Klangreinheit aufwies. Später wurde er durch die verschiedenen kleinen Einkreis-Röhrenempfänger verdrängt und geriet in Vergessenheit.
Heute sind in erster Linie   d r e i   G r ü n d e   dafür maßgebend, daß sich das Interesse wieder dem Detektorempfang zuwendet:
1. die durch wirtschaftliche Kriegsmaßnahmen eingeleitete und durch Kriegsschäden verschlimmerte Röhrenverknappung, die trotz Wiederanlaufens einiger Röhrenserien wohl noch geraume Zeit anhalten dürfte, so daß die wegen Röhrenmangels stillgelegten Empfänger weiterhin brachliegen;
2. der Mangel an neuen Geräten, der ebenfalls noch lange Zeit bemerkbar sein wird, weil die jetzt neu aufgenommene Fabrikation naturgemäß noch nicht die Vorkriegsproduktionszahlen erreichen kann, die Nachfrage aber wesentlich größer ist;
3. die behördlicherseits als unerläßlich bezeichneten bzw. aus wirtschaftlichen Gründen freiwillig übernommenen Stromsparmaßnahmen.

Zunächst: Detektorempfang ist eine Wissenschaft
Man sehe sich nur einen der ersten Detektorempfänger an, um zu erkennen, wieviel Mühe die damalige Industrie zu ihrem Bau aufwendete. Allerdings gelang es den Ingenieuren jener Pionierzeit auch, mit diesen Geräten Tausende von Kilometern zu überbrücken. Obgleich diese Empfangsleistungen heute aus anderen Gründen rein physikalisch kaum mehr erreicht werden dürften, lohnt es sich doch, vor dem Bau eines Detektorempfängers einige theoretische Gedanken zu wälzen. Denn die seit jener Zeit gemachten Erfahrungen, die zu dem ungeahnt hohen Stand der HocHfrequenztechnik führten, erlauben es uns, kritisch zu prüfen, wo wir vernachlässigen dürfen.


Anstelle des unbrauchbaren Original-Fotos habe ich hier ein Foto des gleichen Primär-Detektorempfängers, wie von Mende beschrieben, hier eingesetzt. Es handelt sich um den Primär-Sekundär-Empfänger Telefunken Type E5c (Hersteller Siemens). Die Konstruktion stammt aus dem Jahre 1911, das hier abgebildete Gerät wurde etwa um 1916 hergestellt. Auf dem Bild erkennt man die auswechselbaren Spulen für die Wellenbereiche 200 bis 14500 m. Am Gerät befindet sich ein Umschalter zum Betrieb eines Senders an einer gemeinsamen Antenne, sowie einen Überspannungsableiter zum Schutz vor Gewitter.
Zwei Detektorkristalle konnten an diesem Gerät aufgesteckt werden.
(Foto: Ebeling, GFGF)

Das ist übrigens gerade die Kunst beim modernen Empfängerbau, billige, haarsträubend präzisionslos aufgebaute und dabei doch selbst auf höchsten Frequenzen leistungsfähige Geräte bauen zu können, weil über der ganzen Entwicklung, Konstruktion und Fertigung der Leitgedanke schwebt: "Wo dürfen wir vernachlässigen, wo also hat höhere Präzision keinen Sinn, und auf welche Teile allein kommt es an?"
Im vorliegenden Fall wird man sich zunächst die Aufgabenstellung klarmachen, um daraus die Grenzen der möglichen Vernachlässigungen zu erkennen:
Die erforderliche Niederfrequenzspannung muß aus der vorhandenen HocHfrenzenzenergie gewonnen werden, da ohne die hier unerwünschte oder unmögliche Fremd-Energiezufuhr und einen entsprechenden Röhrenaufwand keine Vor-(Hf-) oder Nach-(Nf-) Verstärkung möglich ist. Es heißt also, die am Empfangsort anfallende Senderfeldstärke in einem möglichst hohen Maße auszunutzen.

Die Antenne
Folglich muß unser Empfänger eine Antenne haben, die in das elektromagnetische Feld eines Senders hineinragt. Im Gegensatz zur Rahmenantenne, die auf den magnetischen Vektor anspricht, empfangen wir mit einer üblichen offenen Antenne hauptsächlich den elektrischen Vektor dieses Feldes, dessen Stärke E am Empfangsort um so höher sein wird, je stärker und näher der Sender ist.
Die Feldstärke E des Senders verursacht nun zwischen Antenne und Erde einen Spannungsabfall U, der zunächst (s. u.) um so höher ist, je höher die Antenne über der Erdoberfläche (einschl. Bäumen, Dächern und Hauswänden) hängt, kurz: je größer ihre wirksame Höhe hw über Erde ist.
Die wirksame Antennenhöhe beträgt bei einem unbeschwerten, senkrechten geraden Antennendraht etwa 2/3, bei T- und L-Antennen fast 1/1 der tatsächlichen Höhe.
Der aus der Empfangsspannung resultierende Strom in der Antenne ist nun:
wenn Ra = Rv (Verluste, Isolationswiderstand, Erdungswiderstand) + Rn (Nutzwiderstand des Eingangskreises) und Rs der Strahlungswiderstand der Empfangsantenne ist:
Hieraus erkennt man, daß für maximalen Strom bzw. Spannung Ra = Rs gemacht worden muß. Das bedeutet andererseits, daß mindestens 50% der gesamten Empfangsenergie durch Erregung der Antenne wieder abgestrahlt werden, so daß der Wirkungsgrad einer Antenne günstigstenfalls 50 % beträgt (Vergl. die Formeln (17) bis (21)).
Sehr wichtig ist nun, daß man den Empfänger an die Stelle zwischen Antenne und Erde legt, an der sich bei Abstimmung ein Strommaximum einstellt. Daher schaltet man den Empfänger üblicherweise am Fußpunkt der (kurzen) Antenne ein, vorausgesetzt, daß dieser geerdet wird, weil sich sonst gerade dort ein Spannungsbauch befinden würde. Damit ist auch sofort klar, warum die zugehörige Erdleitung möglichst verlustfrei, mit großem Querschnitt und kleinsten Übergangswiderständen sein soll: um nämlich die wegen des Strommaximums besonders hohen Spannungsabfälle (die als Verluste dem Empfänger verlorengehen) möglichst klein zu halten!
Der Empfangsstrom, dessen Maximum erzielt werden soll, beträgt:
Hieraus resultiert, daß bei zunehmender Antennenlänge der Antennenstrom sinkt !
(Der Grund dafür ist, daß bei kurzen Wellen und langen Antennen beträchtliche Abstrahlungen auftreten.)
Da Ra aber niemals 0 werden kann bzw. soll (denn er enthält ja auch den Nutzwiderstand), soll diese Formel hier nur zeigen, daß über eine gewisse Grenze hinaus eine Vergrößerung der Antenne sinnlos ist.
Die günstigste Antennenlänge ist dagegen ungefähr:
In der Praxis wählt man die Länge einer L-Antenne zu etwa 1/3 bis 1/4 der kürzesten zu empfangenden Wellenlänge, während eine T-Antenne noch länger werden kann. Bei Fehlen einer entsprechenden Strecke kann man diese Länge auf eine zweidrähtige Antenne mit einem Drahtabstand von 0,5 bis 1,5 m aufteilen.
Die von der Antenne gelieferte Hf-Energie muß nun möglichst ohne Verluste an den Empfänger gebracht werden. Das bedeutet: Antenne und Antennenableitung gut isolieren und großen Abstand von Erde, Hauswand usw. einhalten. Erdungsschalter bzw. Blitzschutz können auch Verluste bringen und müssen daraufhin geprüft werden. Keine Abschirmung verwenden, denn (abgesehen von angepaßten Antennen): auch das beste Abschirmkabel stellt eine kapazitive Belastung der Antenne dar - einen Kondensator, der wertvolle Senderenergie zur Erde ableitet. Überdies ist auch eine Abschirmung überflüssig, weil unser Empfanger zur Aufnahme des großstädtischen Störnebels zu unemplimllich ist und sehr starke Störer ohnehin von der Antenne empfangen werden dürften.
Wie bei jedem anderen Rundfunkempfänger stößt die Anlennenenergie einen Schwingungskreis an, der auf die Wellenlänge oder genauer auf die Frequenz des Senders abgestimmt werden muß. Dabei wird diese Energie zu einem Teil verbraucht, um an den Enden des Kreises eine Hf-Spannung der eingestellten Frequenz zu erzielen und sie nach Gleichrichtung durch den Detektor dem Kopfhörer zuzuführen, zum anderen Teil durch unvermeidbare Verluste in den Abstimmitteln verzehrt. Diese Verluste muß man nun möglichst gering halten, denn die Hf-Spannung wird um so höher, je verlustfreier der Kreis ist. Da dieser aber immer aus Induktivität und Kapazität besteht, müssen beide Elemente möglichst verlustfrei gestaltet werden.

Die Spule
hat zunächst um so geringere Verluste, je größer ihre Drahtoberfläche, je kleiner ihr Kupferwiderstand und je besser das Dielektrikum ihrer Isolation und ihres Körpers sind. Ersteres wird verständlich, wenn man sich daran erinnert, daß sich der Hf-Strom vorzugsweise auf der Oberfläche eines Drahtes und um so weniger in dessen innerem fortbewegt, je höher seine Schwingungszahl ist (daher auch die dickdrahtigen Kurzwellenspulen). Um bei gegebenem Kupferquerschnitt eine mögichst große Drahtoberfläche zu erhalten, unterteilt man bekanntlich den Volldraht in viele kleine Einzeldrähte, die man - voneinander isoliert - zur Litze vereinigt. Das hat natürlich nur dann Sinn, wenn an beiden Seiten der Spulenwicklung sämtliche Einzeldrähtchen sauber abisoliert zusammengefaßt werden. Anderenfalls wird der Vorteil der Litze durch Wirbelstromverluste illusorisch und Volldraht gleichen Querschnitts vorteilhafter.
Der Kupferwiderstand ist um so kleiner, je größer der Draht- oder Litzenquerschnitt ist und je günstiger die Spulenform hinsichtlich kleiner Drahtlänge gewählt werden kann (Würfelform).
Der dritte Punkt, das Dielektrikum der Spulendrahtisolation, des Träger- und Befestigungsmaterials, ist ebenfalls wichtig, denn es muß von den Kraftlinien der Spule durchsetzt werden, wobei seine Partikelchen im Takte der Hf "umgepolt" werden müssen; diesem Vorgang (wie bei allen Zustandsänderungen in der Natur) setzen sie einen Widerstand entgegen, was zwangsläufig mit entsprechenden Energieverlusten verbunden ist. Während man diese Verluste durch geeignete Gestaltung des Spulenkörpers und richtige Wahl der Isolierstoffe (kleine Verlustfaktoren, s. Tab. 1) gering halten kann, kann man die Kupferverluste der Wicklung noch dadurch herabsetzen, daß man den Kraftlinien der Spule einen möglichst guten Weg (Hf-Eisen, z. B. Ferrocart, Sirufer usw.) gibt und so durch Vergrößerung der Permeabilität die für die gleiche Induktivität erforderliche Windungszahl nebst ihrer Drahtlänge und ihrem Drahtwiderstand R herabsetzt. Die Spulengüte ergibt sich zu:
und wird mit kleiner werdendem RL (Gleichstromwiderstand) immer größer. Bei einer guten Spule soll sie mindestens 250 betragen.
Der Einfluß der Spulenart geht neben den oben angestellten Überlegungen aus den Kurven in Bild 2 hervor.
Wir sehen auch hieraus, daß die Eisenkernspule unter sonst gleichen Bedingungen vorzuziehen ist. Läßt sich eine Eisenspule nicht beschaffen, so entsteht die Frage, ob bei einer Luftspule Volldraht besser ist als Litze oder umgekehrt.
Man kann das berechnen:
Die Frequenz, von der ab Litze gegenüber Volldraht keine Verbesserung mehr bringt, ist:
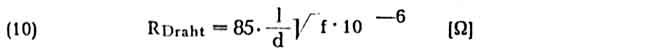
Man sieht also, daß es lediglich auf die Beschaffenheit der Litze ankommt und daß eine gegebene Litzensorte nur bis zu einer bestimmten Frequenz Vorteile bietet. Darüber hinaus ist Volldraht günstiger. Die Kupferverluste ergeben sich dann aus dem Wickwiderstand
des verwendeten Drahtes, wenn l die Drahtlänge in m, d der Draht-Æ in mm und f die Frequenz in Hz ist.
Bei Zylinderspulen aus Volldraht gibt es für jede Drahtstärke (2 r) einen bezüglich der Verlustfreiheit optimalen Windungsabstand von 2,4 r.
Hinsichtlich der Berechnung des L-Wertes und der übrigen Spulendaten siehe die Formeln (25) bis (29). Um die dielektrischen Verluste möglichst gering zu halten, müssen nach Tabelle 1 Isolierstoffe mit möglichst kleinem Verlustwinkel gewählt werden.

Der Kondensator
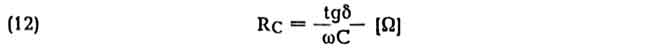
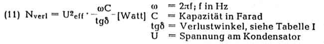
Gleiche Überlegungen hinsichtlich der Verluste müssen wir für den Kondensator des Schwingungskreises anstellen. Hier bestimmt nur die Güte des Dielektrikums die Größe der Leistungsverluste:
Der Verlustwiderstand des Kondensators beträfe:
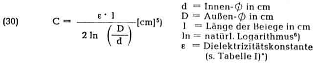
Aus Tabelle 1 entnehmen wir, daß auch für den Kondensator die Luft das geeignetste Dielektrikum darstellt. Natürlich nützt das schönste Luftdielektrikum nichts, wenn die Isolierteile, welche die beiden Belege des Kondensators halten, aus wesentlich schlechteren Isolierstoffen bestehen und womöglich einen Ohmschen Widerstand in der Größenordnung des Resononzwiderstandes des Kreises oder darunter darstellen. Die Größe des Kondensators und seine Konstruktion finden wir aus den Formeln (30) und (31).

Der Schwingkreis
Spule und Kondensator ergeben den Schwingkreis, dessen Güte sich aus Spulengüte und Verlustfaktor des Kondensators wie folgt errechnet:
Wie außerordentlich groß der Einfluß des Kondensator-Verlustwinkels auf die Kreisgüte ist, erhellt aus den Kurven Bild 3.
Um eine möglichst hohe Hf-Spannung am Kreis zu bekommen, müssen wir außer Berücksichtigung der weiter unten besprochenen Ankopplungsbedingungen danach trachten, seine Resonanzschärfe r möglichst groß, seine Dämpfunq folglich möglichst klein zu halten. Für einen Kreis nach Bild 4 ist:
Daraus ist ersichtlich, daß, wie schon oben bei der Besprechung der Spule gefordert, RL möglichst klein sein soll und daß ferner ein großes L/C-Verhältnis günstig ist. Die Grenze wird hier durchdas maximal notwendige Abstimm-C bestimmt. Mit der Resonanzscharfe wird auch die Trennschärfe höher, die sich bekanntlich aus dem Verhältnis

Resonanzwiderstand des Kreises für den eingestellten Sender
__________________________________________________
Wechselstromwiderstand des Kreises für den Nachbarsender

ergibt. Das erleichtert nicht nur den Fernempfang, sondern trägt besonders zur Ausschaltung von Störsendern ohne Sperrkreis bei. Die am Kreis stehende und im Takte der Sendermodulation wechselnd große Hf-Spannung muß nun gleichgerichtet (demoduliert) werden.

Der Detektor
Das besorgt mehr oder weniger gut der Detektor. Er ist das Herz unseres Empfängers und ihm müssen wir besondere Beachtung schenken. Detektoren gibt es (oder vielmehr gab es) in einer unerschöpflichen Vielzahl. Da die Leistungsunterschiede, gehörmäßig beurteilt, nur gering sind und objektive Leistungsvergleiche einen gewissen Meßaufwand erfordern, ist die Wahl des richtigen Detektors schon ein kleines Problem. Es ist auch an dieser Stelle unmöglich, hierzu auf die durchaus nicht restlos geklärte Theorie seiner Wirkungsweise einzugehen. Es soll daher nur das Wichtigste hierzu gesagt werden: Legt man an einen Detektor eine Spannung und mißt den hindurchfließenden Strom, so erhalt man abweichend vom Ohmschen Gesetz eine Kennlinie nach Bild 5.


Die Ursache hierfür, d.h. das Wesen der Detektorgleichrichtung wird nach verschiedenen Theorien verschieden begründet:

1. durch Elektronenemission an der Kontaktstelle,
2. durch Elektrostriktion, wie bei allen Piezokristallen,
3. thermoelektrisch (Erwärmung der Kontaktstelle),
4. elektrolytisch (Feuchtigkeitshäutchen an der Kontaktstelle).

Von diesen Theorien haben die erste und zweite in Zusammenwirkung miteinander die größte Wahrscheinlichkeit. Für die Praxis aber ist folgender Gesichtspunkt wichtiger: Es muß offenbar stets eine besondere Grenzschicht, z. B. eine Oxydschicht, an der Kontaktstelle vorhanden sein - je dünner, desto wirksamer, während bei dicken Oxydschichten der höhere Übergangswiderstand die Gleichrichterwirkung vermindert.
Größte Empfindlichkeit ergibt sich erfahrungsgemäß an den Bruchkanten der Kristalle. Der Übergangswiderstand und mit ihm der Kennlinienverlauf des Detektors hängt auch von der Höhe des bekanntlich sehr kritischen Kontaktdruckes ab. Bei zu hohem Kontaktdruck (Kristall-Metallspitzendetektor) geht die in Bild 5 gezeigte Kennlinie in eine Gerade über und die Gleichrichterwirkung geht verloren.

Nach neueren Untersuchungen an Bleiglanzkristallen im Vakuum und in Gasen ist es für eine gute Detektorwirkung (Aktivierung) erforderlich, daß sich an der Oberfläche des kristallinen Gesteins die Schicht eines elektrisch nichtleitenden Gases anlagert, welches von der Kristalloberfläche absorbiert werden kann. Hierbei entsteht eine nichtleitende Grenzschicht, die von der aufgesetzten Metallspitze nicht durchstoßen wird bzw. werden darf (leichter Kontaktdruck). Bei künstlichen Kristallen (aus Naturkristallen und Bindemittel gepreßte Tabletten) werden zur Verbesserung der Delektorwirkung vielfach kleine Mengen von Antimon oder Silber zugesetzt. Besonders empfindlich sollen Tabletten sein, bei denen die Zusatzmetalle durch Einleiten von Schwefelwasserstoffgas in Metallsalzlösungen chemisch rein gefällt und nach dem Pressen aus dem amorphen in kristallinen Zustand umgewandelt werden.
Für die praktische Wahl des Detektors möge Tabelle 2 eine Übersicht geben, die jedoch keinen Anspruch auf Vollständigkeit stellt.
Detektoren aus zwei Kristallen und solche mit Vorspannung brauchen weniger oft nachgestellt zu werden und erfordern in der Regel einen größeren Kontaktdruck, wobei sie jedoch meist weniger empfindlich sind als Kristall-Metallspitzensysteme. Wichtig ist in jedem Fall, daß die Kristalloberfläche frei von Verunreinigungen ist, daher die staubdichte Verkapselung der meisten Fabrikate.
Während Detektoren mit einer Kennlinie nach Bild 5 ohne besondere Hilfsmittel verwendet werden können, empfiehlt es sich, bei Detektoren mit einer Kennlinie nach Bild 6 eine Vorspannung der Größe Ev zu verwenden. Diese Detektoren sind meist gegen Erschütterungen unempfindlicher als solche ohne Vorspannung.


(In Fällen, in denen die Kennlinie unbekannt ist und aufgenommen werden soll, sei auf die Meßschaltung im Anhang hingewiesen.)



Die Schaltungen
Die Schaltung des Detektorempfängers setzt sich im wesentlichen aus dem Antennenkreis, dem Schwingkreis und dem Detektorkreis zusammen. Wahrend die Wahl der Antennen- und Abslimmkreisschaltung vorwiegend von den örtlichen Empfangsverhältnissen und der verwendeten Antenne abhängig ist, muß zur Ankopplung der Antenne und zur Anschaltung des Detektorkreises einiges gesagt werden.
Entsprechend der oben aufgestellten Forderung, den Eingangswiderstand Ra des Empfängers dem Strahlungswiderstand der Antenne Rs anzupassen, spielt die Ankopplung des Empfängers an die Antenne eine große Rolle.


In Bild 7 ist La die Antennen-, Lk die Kreisinduktivität, Ca die Antennen-, Ck die gesamte Kreiskapazität, Rn der Nutzwiderstand der Schaltung und Ri der Innenwiderstand der als Generator aufgefaßten Antenne (= der Summe aus Strahlungs- und Verlustwiderstand). Dann ergibt sich für optimale Leistung in Rn als günstigste Gegeninduktivität.
Das ist streng genommen nur für die Frequenz w = 2pf gültig; zu bedenken ist dabei aber, daß eine Fehlanpassung von 100% nur einen Leistungsverlust von 11 % hervorruft, so daß die Kopplung über einen gewissen Frequenzbereich günstig bleibt. Wenn man den Verlustwiderstand der Antenne (gegenüber dem Strahlungswiderstand) vernachlässigt und berücksichtigt, daß der transformierte Nutzwiderstand
in Serie mit dem Strahlungswiderstand liegt, erhält man für die von der Antenne aufgenommene Leistung
für die im Empfänger umgesetzte Nutzleistung
und für die von der Antenne wieder abgestrahlte Leistung
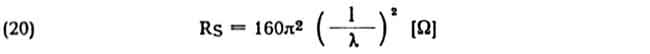
Man erkennt auch hieraus, daß eine Vergrößerung der Antennenhöhe nur bis zu dem Punkt nützlich ist, wo Rs = Rn' wird. Da die Antennenspannung entsprechend (2) proportional mit der Antennenhöhe, der Strahlungswiderstand hingegen entsprechend
mit dem Quadrat der Höhe wächst, kann bei loser Kopplung eine weitere Verlängerung der Antenne statt einer Verstärkung umgekehrt eine Schwächung der Empfangsenergie hervorrufen.
Bei Detektorempfängern, die über nur eine Spule verfügen, ist also die Wahl des Spulenabgriffs für die Antenne wichtig. Die Spule wird dadurch unterteilt, so daß der aus der Starkstromtechnik bekannte Spar- oder Autotransformator entsteht. Auch hier gelten die angegebenen Formeln.

Nun die Anschaltung des Detektorzweiges:
Nach Bild 8 liegt bei einfachen Detektorempfängern die Reihenschaltung von Detektor und Kopfhörer parallel zum Schwingkreis. Der Detektor kann nun - zumindestens während der Durchlässigkeitshalbwelle - als niederohmig gegenüber dem Resonanzwiderstand des Kreises angesehen werden. Der Kopfhörer weist üblicherweise einen Gleichstromwiderstand von 4000 Ohm und einen Wechselstromwiderstand bei 800 Hz von z.B. 16 kOhm auf, während sein Hf-Widerstand durch die Eigenkapazitäten seiner Spulen und des Systemaufbaues einschl. der Anschlußschnur ebenfalls nicht die Größenordnung des Kreisresonanzwiderstandes erreichen dürfte und üblicherweise auch noch für die für den Detektor bestimmte Hf kapazitiv überbrückt wird.


Die Folge davon ist, daß der Schwingkreis mit seinem meist wesentlich höheren Resonanzwiderstand
während jeder ersten Halbwelle merklich und während jeder zweiten Halbwelle stark gedämpft wird. Wie man auch experimentell nachweisen kann, wird der Kreis wesentlich weniger gedämpft, seine Abstimmung gleichermaßen schärfer, wenn man den Detektorkreis entsprechend Bild 9 an eine Spulenanzapfung von 1/4 bis 1/5 der Gesamtwindungszahl legt. Grob geschätzt liegt bei richtiger Wahl des Anzaplungspunktes die zur Gleichrichtung verfügbare Hf-Spannung mindestens bei den gleichen Werten wie die sonst am vollen Kreis abgegriffene und durch Dämpfung herabgesetzte Spannung. Übrigens kann man meist ohne hörbaren Nachteil den Parallelkondensator zum Kopfhörer weglassen.


Eine andere, mehr theoretische Möglichkeit, die Bedämpfung des Kreises durch den Kopfhörer zu veringern, ist die Verwendung eines Anpassungsübertragers nnch Bild 10, dessen Primärseite an den Resonanzwiderstand des Kreises und dessen Sekundärseite an die Kopfhörerimpedanz angepaßt wird. Bei dieser Schaltung wird auch der Wirkungsgrad des Detektors besser, der nach Untersuchungen von Reyner erst bei äußeren Widerständen von über 100 kOhm ein Optimum erreicht. In der Praxis wird dieser Vorschlag an der schwierigen Konstruktion des Übertragers, die zumindest für den üblichen Rundfunkempfang in keinem Verhältnis zum Erfolg steht, scheitern. Im übrigen ergibt sich aus den hier angestellten Überlegungen, daß man zur Erzielung von Höchstleistungen eine Schaltung mit variabler Anlennenkopplung und mit der Möglichkeit, neben der Kreisabstimmung auch die Antenne abzustimmen, wählen soll (s. Bild 11).
Nach diesen "wissenschaftlichen" Erwägungen wollen wir nun zwei Grenzfälle der Praxis betrachten: den Bau eines Empfängers, für den a l l e Teile zur Verfügung stehen, und eines solchen, bei dem nichts vorhanden ist. Zuvor stellen wir nochmals die wesentlichen Grundbedingungen für guten Detektorenempfang auf:

Bedingungen für guten Detektorempfang
1. Die Antenne muß die beste sein, die sich unter den gegebenen Umständen überhaupt errichten läßt; sie soll keine abgeschirmte Ableitung bekommen und muß durch eine gute Erdleitung ergänzt werden.
2 Je einfacher die Schaltung ist, desto weniger verlustbehaftete Einzelteile können in Erscheinung treten.
3. Die Spulen müssen möglichst verlustarm sein. Besonderer Wert ist auf sauber ausgeführte Anzapfungen zu legen.
4. Der Abstimmkondensator soll Luftdielektrikum haben.
5. Die Resonanzschärfe des Schwingungskreises soll möglichst groß sein (L/C-Verhältnis).
6. Der Zeitaufwand für die Suche nach dem geeigneten Detektor macht sich immer bezahlt !
7. Die Empfangsleistung ist in erster Linie von den örtlichen Bedingungen abhängig - durch unermüdliche Versuche muß besonders hei Empfängern mit veränderlicher Kopplung das Empfangsoptimum von Fall zu Fall erarbeitet werden, wobei die in diesem Beitrag gegebenen Richtlinien lediglich die Grenzen und das Ziel der Experimente abstecken sollen.

Detektorempfänger - aus dem Vollen geschöpft
Entsprechend den oben aufgestellten Grundbedingungen werden wir zunächst eine gute Antenne errichten und eine mustergültige Erdung herstellen. Bei der Wichtigkeit der Antenne sollte man keine Mühe scheuen, um unter Verwertung der hier herausgestellten Gesichtspunkte und nach einer Überschlagsrechnung zur Erzielung höchster Lautstärke einige praktische Versuche zu machen, z.B. soll der Physiker Alvar W i l s k a r durch Verwendung zweier im Winkel von 90° zueinander verlaufenden Antennen große Reichweiten und Lautstärken mit einem Kristalldetektor erzielt haben. Danach werden wir mit viel Liebe und Sorgfalt den Schwingkreis zusammenstellen und aufbauen. Bei Beschränkung auf Ortsempfang genügt dabei für die ersten Versuche eine einfache lautstarke Schaltung nach Bild 9, die jedoch auch Fernempfang einzelner Sender ermöglichen wird. Für die Bemessung der Einzelteile treten außer den besprochenen Richtlinien keine neuen Gesichtspunkte auf. Da
ergibt sich bei gegebener Frequenz f in Hz und damit (da w = 2pf) gegebenen w, die Spuleninduktivität L für die Kapazität C in Farad aus
Für übliche L-Werte von etwa 2 mH für Langwellenspulen und 0.2 mH für Mittelwellenspulen kann man zum Spulenbau die FUNKSCHAU-Spulentabelle zugrundelegen.
Für raffinierten Fernempfang empfiehlt sich eine Schaltung nach Bild 11. Hier ist wesentlich, daß die Kopplung aus den oben angeführten Gründen veränderlich ist. W i g a n d berichtete, daß er mit dieser Schaltung abends an einer 50m langen Antenne neben dem Ortssender mindestens ein Dutzend Sender des Mittelwellenbereiches empfangen konnte. Zur Bereichumschaltung ist noch zu bemerken, daß bei den üblichen Verfahren der Spulenumschaltung Verluste (Dämpfung) durch tote Windungen usw. auftreten, die sich bei Bereichumschaltung nach Bild 11 gut vermeiden lassen.

Die Einzelteile
Wer früher bastelte, wird in seinem Teilevorrat vielleicht noch verwendbare Teile vorfinden.
Während er nun die Steckspulen (75, 100, 150 Windungen) nach kurzer mechanischer und elektrischer Prüfung schon zu Empfangszwecken verwenden und evtl. durch Kochen in Paraffin noch verlustfreier machen kann, wird er einen alten Detektor erst einerm Säuberung unterziehen müssen. Dafür gibt es mehrere Rezepte:
1. Stark "verwitterte" Kristalle reinigt man durch Schütteln in Sand oder in hartnäckigen Fällen durch Eintauchen in Salpetersäure und anschließendes Abwaschen in Wasser.
2. Leicht verstaubte Kristalle werden mit einem fettfreien Pinsel oder einer sauberen weichen Bürste gesäubert.
3. Schmierige Staubschichten überzieht man mit einer Kollodium- oder Cohesanhaut, die man mitsamt der Staubschicht nach der Trocknung vorsichtig abzieht.
Nach der Reinigung darf die Kristalloberfläche nicht mehr mit den Fingern berührt werden; hat man es versehentlich doch getan, so hilft Nachreinigung mit einem in Alkohol oder Spiritus getauchten Wattebausch.
Die Metallspitze solcher alten Detektoren schneidet man neu ab, und zwar schräg, so daß sich eine Spitze mit möglichst kleiner Kontaktfläche ergibt.
Wigand empfiehlt als besten Detektor, den er je benutzt habe, einen Selbstbau aus zwei Bananensteckern, von denen der eine in einem Röhrenclip den Kristall trägt, während der andere ein Stückchen Antennenlitze hält, deren aufgetroddeltes Ende mit 5 bis 10 Drähtchen die Kristalloberfläche berührt.
Ein alter Drehkondensator (500 cm) wird einer gründlichen Reinigung, besonders seines Plattenzwischenraumes und der Isolationsstücke unterzogen, bevor er eingebaut wird. (Evtl. Empfiehlt es sich, Isolalionsringe usw. aus Hartpapier durch solche aus hochwertigeren Isolierstoffen zu ersetzen.)
Beim Kopfhörer tut manchmal eine Aufmagnetisierung Wunder. Ferner sollte man seiner Anschlußschnur am Stecker wie am Systemende genau auf Wackelkontakte absuchen, um später ärgerliche Fehlersuche zu vermeiden. Bei dieser Gelegenheit sollte man den Membranabstand neu, d. h. auf größte Empfindlichkeit einstellen.
Anschließend folgt nunmehr die Bauanleitung für einen Detektorempfänger, der "aus dem Nichts" geschaffen wird.

Detektorempfänger - aus dem Nichts
Es gibt Fälle, in denen auf wirklich einfachste Weise - gewissermaßen aus dem Nichts - ein Rundfunkempfänger gebaut worden soll, sei es, um neben dem vorhandenen Netzempfänger aus Stromersparnisgründen ein zweites Gerät zu besitzen, sei es aus Freude an der Bastelei oder um überhaupt für den Notfall einen Empfänger zu haben, der ohne Röhren und ohne Stromquellen Empfang bringt. Der Detektorempfänger ist hierfür das Ideal. Auch für seinen Bau werden aber bestimmte Teile gebraucht, die heute nicht immer zur Verfügung stehen. Es wurde deshalb überlegt, wie man ein Detektorgerät bauen kann, ohne daß auch nur eine Schraube oder eine einzige Klemme vorhanden ist. Es geht, es geht sogar nicht einmal schlecht; ein solcher Empfänger bringt im Gegenteil recht brauchbaren Empfang. Daß man sich hierbei aber von allen Voraussetzungen lösen muß, die unsere Technik sonst macht, ist selbstverständlich. So entstand der nachstehend beschriebene, wirklich einfachste Detektorempfänger, dessen Bau in Wort und Bild erläutert werden soll. Es wird dabei jedoch kein Rezept bzw. keine Bauanleitung mit fest gegebenen Werten gebracht, um den Leser zu eigenen Versuchen gemäß den oben geschilderten Bedingungen zu bringen.


Unumgänglich notwendig ist Draht, den man sich von (auch "verbrannten") Spulen, Drosseln und Transformatoren abwickeln kann, ferner möglichst auch ein Kopfhörer. Für den Fall, daß außer einem Taschenmesser oder einer Schere kein Werkzeug zur Verfügung steht, werden noch eine Schachtel Reißzwecken und einige Blechabfälle (von Taschenlampenbatterien oder Konservendosen) sowie ein paar Büroklammern benötigt.


Jetzt setzt die Überlegung ein, wo man vernachlässigen und primitiv bauen darf. Wir wollen das Punkt für Punkt untersuchen.

Antenne
Wir wollen eine möglichst gute Antenne bauen; je besser sie ist, desto eher dürfen wir an anderer Stelle Vernachlässigungen zulassen. Statt der üblichen Antennenlitze kann man auch Klingeldraht oder Binde- (Eisen-) Draht verwenden, statt der Porzellaneierketten solche aus Holzstäben und Bindfäden, wobei auf ausreichende Zugfestigkeit zu achten ist (Bild 15). Jedenfalls ist eine zwischen Haus und Baum aufgehängte 20 - 50 m lange Bindfaden-Eisendraht-Außenantenne besser als jede noch so schöne Behelfsantenne.


Hf-mäßig können wir dabei ohne weiteres auf einen Blitzschutz verzichten (wenn wir keinen auftreiben können), aus Sicherheitsgründen aber auf keinen Fall. Wir müssen also sicher stellen, daß bei Gewittergefahr und unserer Abwesenheit die Antenne einwandfrei geerdet werden kann. Wenn es nicht anders geht, muß man eben die Zuleitung abnehmen und mit einer einwandlreien Erde (Gartenwasserleitung, Blitzableiter) metallisch sauber verbinden.

Erde
Die Erdung wird sich immer in irgendeiner Form herstellen lassen, evtl. muß man die Blitzerde mit als Empfängererde verwenden. Die eigentliche Erdleitung braucht man nicht isoliert zu verlegen, sie kann also auch aus blankem Draht bestehen, soll aber in jedem Fall einen möglichst großen Querschnitt und keine scharfen Biegungen aufweisen.

Schaltung
Je besser die Antenne ist, um so einfacher kann die Schaltung sein, und je weniger Einzelteile wir dadurch haben, desto weniger Verluste können sich summieren. Natürlich wird man zunächst eine möglichst einfache Schaltung nach Bild 13 versuchen.

Bauelemente.
Einige Winke zum Schaltungsaufbau: Wo Draht mit verbrannter Isolation verwendet werden muß, wird er an den Anschlußstellen selbstverständlich erst blankgekratzt. Stecker und Buchsen ersetzt man durch Blechstreifen (von Taschenlampenbatterien oder Konservendosen) und Büroklammern, Schalter werden dementsprechend aus Blechstreifen und Reißzwecken auf Holzbrettchen gebaut (Bild 16 und 17).


Allgemein ist hierzu zu sagen, daß sich auch bei sorgfältigem sauberkratzen aller Teile Wackelkontakte nicht immer ganz vermeiden lassen - aber: besser einen Empfänger mit bekannten und leicht zu "reparierenden" Wackelkontakten, als gar keinen Empfänger. Und nach und nach wird man sowieso einen Teil nach dem anderen durch eine bessere Ausführung ersetzen können.

Spulenbau
Wer sich isolierten Draht beschafft hat, hat eigentlich schon alles. Eine Spule aus "verbranntem" Draht wird so gewickelt, daß sich blanke Stellen nicht berühren, oder aber der Draht wird vorher isoliert (mit Papier, Zwirn, Lack, Paraffin, Ölfarbe). Alles weitere ergibt sich aus systematischem Probieren. Um eine Abstimmöglichkeit ohne Benutzung eines Drehkondensators zu erhalten, brauchen wir eine veränderliche Induktivität, z.B. in Form eines Variometers (Bild 14), das aus zwei hintereinandergeschalteten und miteinander gekoppelten Spulen besieht. Die Gesamtinduktivität der veränderlichen Spule muß dabei höher sein als die bei üblichen Spulensätzen, weil wir ja nur mit der Schaltungsund Antennenkapazität arbeiten wollen. Die Induktivität einer beliebigen Spule errechnet sich aus:
Die Induktivität einer Spule mit quadratischem Wickelquerschnitt läßt sich besonders einfach errechnen:
Schaltet man zwei Spulen zu einem Variometer hintereinander, so liegt ihre gemeinsame Induktivität je nach ihrer Stellung zueinander zwischen:
wobei alle Werte in mH eingesetzt werden können. Hierin ist die Gegeninduktivität M eine Gerätekonstante, die sich aus dem Aufbau ergibt und sich aus:
errechnen läßt.
k ist der Kopplungsfaktor zwischen den beiden Spulen. Er ist immer kleiner als 1 und läßt sich bei ineinandergesteckten Zylinderspulen (für homogene Felder) roh schätzen:
wenn D1 der Durchmesser der äußeren, D2 der Durchmesser der Inneren Spule ist. Im übrigen kann man für Überschlagsrechnungen folgende k-Werte einsetzen:

   bei   konzentrischen Zylinderspulen   0,5 ...0,8
   bei   Hf-Eisenkernspulen   0,75...0,95
   bei   Flachspulen (Steckspulen)   0,1 ...0,5

Ein selbstgebautes Variometer kann z.B. aus mehr oder weniger ineinandergeschobenen Zylinderspulen bestehen oder aus zwei der bekannten, leicht herzustellenden Sternspulen, die auf den beiden Deckeln eines Diariumeinbandes befestigt werden (Bild 18 und 19).


Nach unseren theoretischen Betrachtungen sollte man jedoch jeden Spulenkörper aus einem anderen Dielektrikum als Luft vermeiden. Das kann man, indem man über verschieden große zylindrische Körper (Konservendosen, Weckgläser) zwei Spulenringe mit je 80....150 Windungen und entsprechenden, für unsere Versuche notwendigen Anzapfungen wickelt und die fertigen Spulen ineinander drehbar über einen Stab aus Isoliermaterial steckt.


Steckt man diesen Stab in eine Grundplatte aus Holz, so kann man auf diese eine Abstimmskala zeichnen, über der ein an der beweglichen Spule befestigter Kartonzeiger spielt (Bild 20).
Die Anzapfung für den Detektorkreis soll bei allen Spulen etwa 1/4 bis 1/3 der Gesamtwindungszahl betragen. Wer über mehr Werkstoffe, Werkzeuge und Geschicklichkeit verfügt, kann sich natürlich auch eine der bekannten Schiebespulen mit einem oder zwei (Antennen- und Detektorabgriff-) Reitern basteln.



Kondensatoren
Wenn unsere Versuche ergeben, daß wir ohne Kondensator zur Abstimmung nicht auskommen, so bauen wir uns aus einem Glasrohr oder Wasserglas, das innen und außen mit Stanniol überzogen wird, einen Festkondensator, dessen Kapazität sich errechnet aus:
Man kann auch nach Art der ersten Blockkondensatoren die Belege (Platten) wechselseitig mit dazwischenliegenden Isolierplättchen schichten und erhält dann die Kapazität nach der Formel:

Detektorbau
Der Detektorbau ist kein Problem, wenn ein Kristall vorhanden ist. Andernfalls muß man systematisch (evtl. nach Tabelle 2) auf die Suche nach Oxydhäutchen gehen, die man besonders auf Leichtmetallen (Vorzüglich Lautal), Messingguß, aber auch auf Eisen findet. Bei schlecht leitenden Oxyden (Leichtmetalle, Zigarettenstanniol) nimmt man als Gegenelektrode eine kleine Drahtspitze oder auch einige dünne Litzendrähtchen, wobei der Kontaktdruck sehr kritisch (leichteste Berührung) ist. Bei gut leitenden Oxyden (Messing, Eisen} ist eine Graphit- (Bleistift-) spitze besser. Von allen Behelfsdetektoren, die sich Verfasser baute, bestand der einfachste und beste aus einem Nagel, dessen Kopf eine Bleistiftspitze berührte (Bild 21). Will man den selbstgebaulen Detektor vor Staub schützen, so baue man ihn in ein Glasröhrchen (von Medizintabletten) ein (Bild 22). Auch eine Platte aus einem kleinen Kupferoxydulgleichrichter läßt sich für einen Detektor gut verwenden.


Abschließend soll noch ein Rezept für die Selbstherstellung von Detektorkristallen angegeben werden:
Man schmilzt ein altes Stück Blei und gießt es so oft um, bis die Schmelze sauber ist. Das erkaltete Blei schneidet man dann in kleine Stückchen und mischt es möglichst genau nach dem Atomgewichtsverhällnis mit Schwefelblüte (207,1 : 32,06, also z.B. 8,5 g Blei: 1,5 g Schwefelblüte). Diese Mischung erhitzt man bis zum Schmelzpunkt (326°). Die flüssige Schmelze kühlt man daraufhin möglichst bald ab und kann den so entstandenen Kristall gut in kleinere gebrauchsgerechte Stücke auseinanderbrechen.

Kopfhörer
Der Kopfhörer ist ein Präzisionsinstrument, das normalerweise noch Ströme von 10 hoch -1 bis 10 hoch -3 Amp. nachweist. Ein Selbstbau mit gleichem Wirkungsgrad scheidet praktisch aus. Ersatz läßt sich immer nur in wesentlich unempfindlicheren Systemen finden. Zunächst sollte man vom alten Trichterlautsprecher bis zum Tonabnehmer alle elektroakustischen Gebilde, deren man habhaft worden kann, auf Ihre Verwendbarkeit hin untersuchen. Erst wenn man nichts Derartiges auftreiben und auf Kopfhörerähnlichkeit ändern kann, bleibt als letzte Rettung Selbstbau. Dazu benötigt man einen Dauermagneten in einer Form, daß man an seinen Enden eine, bei Hufeisen zwei Spulen aus einem geklebten Papierwickelkörper und einer dünndrähtigen hochohmigen Wicklung unterbringen kann. Das kann z. B. ein Stück Rundstahl sein, das nach bekannten Methoden magnetisiert wird. Der Stab wird mit der aufgeklebten Spule so durch einen ausgeschnitzten Holzklotz gesteckt, daß sich in geringem Abstand vor seinem Ende eine möglichst dünne Eisenmembrane anbringen und durch einen entsprechenden Holzring festhalten laßt. Womit dann das historische Bild des ersten Telefons auferstanden wäre ...
Hat man eine Anodenbatterie zur Verfügung, so kann man auch einen Versuch mit einem elektrostatischen System machen. Das läßt sich einfach herstellen, indem man zwischen drei etwa handtellergroßen Blättern aus Isoliermaterial zwei (d. h. je eine zwischen zwei Isolierblättern) etwas kleinere Metallfolien mit einem elastischen oder aber sehr wenig auftragendem Kitt (z. B. Gummilösung oder Eiweiß) befestigt und dieses Gebilde unter Zwischenschaltung einer Anodenbatterie von 90 bis 120 Volt in Serie mit einem hochohmigen Widerstand gleichstromfrei an den Empfänger anschaltet, wie das Bild 23 zeigt.


Dabei kann es vorteilhaft sein, die mittlere Isolationsschicht zu durchlöchern oder als Gaze aus nicht leitendem Stoff auszubilden, wobei sich aber die beiden Metallbelege keinesfalls berühren dürfen. Hat man mehrere Kopfhörer zur Verfügung, so kann man sich den besten mittels der im Anhang gegebenen Meßschaltung aussuchen.

Bedienung und Empfang
Allgemein ist ein Detektorempfänger schwerer als ein Röhrenempfänger zu bedienen, weil er besonders bei verlustfreiem Aufbau und geeigneter Schaltung recht trennscharf ist und immer erst die günstigste Einstellung des Detektors gefunden werden muß. Die Detektoreinstellung kann man auch ohne Sender leicht vornehmen, wenn man neben dem Empfänger einen kleinen Störer (Summer; siehe Anhang), Hf-Heilgerät, Spielzeugmotor o. ä. aufstellt und den Detektor auf größte Lautstärke einstellt. Also Geduld und nochmals Geduld! Der Erfolg wird nicht ausbleiben, es wird besonders an einer guten Antenne und einer Schaltung wie Bild 11 sowie bei liebevoller Bedienung der Spulenkopplung eine unerwartet große Zahl von Sendern zu hören sein.

Moderne Detektorempfänger
Als Ergänzung unserer vorliegenden Betrachtungen über zeitgemäßen Detektorempfang bringen wir in einer Übersicht einige charakteristische Vertreter der z. Zt. auf dem Markt erhältlichen, z.T. neu produzierten Detektorempfänger. Ein aufmerksames Studieren der Tabelle III dürfte hinreichend zeigen, daß sich die einzelnen Typen nicht nur äußerlich, sondern auch schaltungsmäßig sowie der Dimensionierung nach erheblich unterscheiden. Ein wesentlicher Grund hierfür dürfte das Bestreben sein, bei der Fertigung möglichst noch Teile aus vorhandenen Lagerbeständen zu verwenden. Andererseits entsteht bei einzelnen Typen der Eindruck, als ob man aus einer gewissen Geringschätzigkeit der Detektorschaltung gegenüber den Fortschritt der Ernpfangstechnik seit 1923 nicht beachtet hätte.
Die vom Verfasser angestellten Messungen unter den verschiedensten Empfangsbedingungen bestätigen denn auch, daß es sich in diesen Fällen nicht um geniale Vereinfachungen, sondern vielmehr um oberflächliches "Zusammenhauen" zur Konjunkturausnutzung handelt. Die Preisgestaltung spricht hier Bände! So kostete der betriebsbereite Empfänger einer Weltfirma mit eingebautem Detektor und einschließlich Kopfhörer R M. 25.-, ein unter den heutigen Fertigungsschwierigkniten durchaus gerechtfertigter Preis, während eine andere nicht weniger bekannte Firma allein den Empfänger ohne Detektor und ohne Kopfhörer mit RM. 27.-, mit Detektor für RM. 30.- und mit Kopfhörer für RM. 55.- verkauften. Demgegenüber verkaufte eine die Konjunktur ausnutzende Firma einen Detektorempfänger von RM. -.50 wirklichem Wert für RM. 10.-, den Detektor (Wert etwa RM. 1.50) für weitere RM. 10.- und einen Kopfhörer billigster Ausführung für RM. 30,- Ein Empfang mit dieser Zusammenstellung war praktisch nicht erzielbar.
Wenn das glücklicherweise auch ein Ausnahmefall ist, so trägt es doch durch die Enttäuschung der unglücklichen Käufer sehr dazu bei, den Delektorempfang in Verruf zu bringen und die guten Erzeugnisse anderer Firmen mit ungerechtfertigten Vorurteilen zu belegen.

Anhang

Die wichtigsten Meßschaltungen
Die folgenden Schaltungen sind unter Verzicht auf wissenschaftliche Exaktheit so gewählt, daß ihr Aufwand nicht in krassem Mißverhältnis zum Umfang des Meßobjektes steht und sie ohne besondere Bauanleitungen leicht aufgebaut werden können. Dabei empfiehlt es sich, zuerst den angegebenen Summerkreis alsGrundelement der wichtigsten Prüf- und Meßmethoden zu bauen. Die elektrischen Werte sind nur für kritische Einzelteile angegeben.





legt man durch Nachmessung genau bekannter Kondensatoren einige Meßpunkte fest, die bei graphischer Aufzeichnung eine gerade Linie ergeben, vorausgesetzt, daß für CN ein Kondensator mit Kreisplatten verwendet wird.


Mit verschiedenen Spulengrößen ergeben sich verschiedene Meßbereiche. Nach Eichung des eingebauten Drehkondensators kann man für jede Spule eine besondere Eichkurve festlegen, indem man das Gerät neben einem Rundfunkempfänger mit gut stimmender Skala aufstellt und den Summer immer auf Empfang ganzzahliger Frequenzen oder Wellenlängen nachstimmt und die gefundenen Einstellwerte des Summerdrehkos für die zugehörigen Frequenzen oder Wellenlängen notiert.
Mit einem so geeichten Summerkreis kann man eine Eichung eines Detektorempfängers für eine bestimmte Antenne und eine bestimmte Kopplung vornehmen (so daß das spätere Aufsuchen von Sendern erleichtert wird), indem man beide nebeneinander mit möglichst loser Kopplung der beiden Spulen aufstellt.


Ferner darf der Summer nicht direkt auf den Empfänger koppeln (möglichst großer Abstand zwischen beiden). Man erhält dann die relative Lautstärke, indem man das Potentiometer so einstellt, daß Empfang und Summerton gleichlaut erscheinen.
Wer auf einem Ohr etwas schlechter hört, macht eine zweite Messung mit umgedrehtem Kopfhörer, wobei sich der gesuchte Wert als Mittelwert zwischen den beiden gefundenen Einstellungen ergibt.


Zu dem Hörer wird ein regelbarer Schichtwiderstand von etwa 500 Ohm parallel geschaltet, dessen Skala in Ohm geeicht ist. Bei der Messung wird er so eingestellt, daß gerade noch etwas zu hören ist.
Die relative Lautstärke ist dann:
Bei dieser Messung soll der Detektorkreis möglichst lose angekoppelt sein.



S ist hier der nach f) geeichte Summerwellenmesser, dessen Spule mit einer Schleife der Verbindung Antenne - Erde gekoppelt wird. Eine zweite Schleife wird mit einer Spule gekoppelt, die mit Detektor und Hörer zu einem aperiodischen, d. h. unabgestimmten Kreis zusammengeschaltet ist. Bei langsamem Durchdrehen des Summerwellenmessers findet man die gesuchte Eigenwelle der Antenne an der Stelle, an der der Summerton im aperiodischen Kreis am lautesten hörbar wird.

f) Prüfung des Wickelsinns von Spulen (Bild 34).


Der Wickelsinn läßt sich nach Einbringen eines kleinen Kompasses in die Spule und Anlegen einer Batterie leicht nach Bild 34 ermitteln.


7) In der Literatur gibt es viele "unfehlbare" Anweisungen zum einwandfreien Abisolieren von Litzen. Der Verfasser hat als schnellstes und einfachstes Verfahren das folgende gefunden: Das Litzenende wird länger als erforderlich gemacht, das äußerste Ende mit zwei Fingern gefaßt, um das Endstück straff zu halten, und an der Stelle des endgültigen Litzenendes die Seiden- und Lackisolation durch Abreiben zwischen einem gefalteten Stück feinsten Schmirgelpapiers unter vorsichtigem Hin- und Herdrehen (Verdrillen und Entdrillen) des Litzenstückes entfernt. Sind alle Drähtchen blank, so wird die Litze ein letztes Mal verdrillt, die abisolierte Stelle verlötet und das nicht mehr benötigte Restende abgeschnitten.


Man mißt den bei verschiedenen Spannungen fließenden Detektorstrom und trägt die Werte in ein Achsenkreuz ein. Nach Aufnahme der positiven Hallte polt man die Batterie um und mißt die Werte der negativen Hälfte der Kennlinie.


Hierzu benötigt man wieder den geeichten Summerwellenmesser nach f), der mit einem geeichten Empfänger gekoppelt wird. Man ermittelt nun erst mit dem Prüfling am Wellenmesser eine Frequenz f 1, die im Empfänger als Summerton hörbar wird. Danach setzt man die geeichte Spule ein und stimmt bei veränderter Stellung des Wellenmessers den Empfänger erneut auf Summerton ab. Der möge dann die Frequenz f 2 angeben. Wenn man jetzt die Größe der geeichten Spule Ln kennt, so ergibt sich die unbekannte Induktivität aus:
Kennt man jedoch nur die Größe der am Drehkondensator des Wellenmessers eingestellten Kapazität, so ergibt sich Lx aus:



In einem Schaltungsbuch vom Mende, eines aus der RPB-Serie Band 27/27a, fand ich die folgenden Schaltungen:




Eine mögliche Ausführungsform der rechts außen dargestellten Schaltung zeigt das nachfolgende Bild, sie ist hier in einer Brettschaltung aufgebaut worden.


Wie der Kenner schnell übersehen wird, eignet sich diese Schaltung für Primärempfang, mit oder ohne Antennenspule, für Sekundärempfang in Eintakt- und Gegentaktschaltung, sowie für Tertiärempfang (bei entferntem Kurzschlußstecker St und zweitem Detektor D2, unter räumlicher Auseinanderziehung der Spulen in der Reihenfolge Antennen-, Sekundär-, Detektorkreisspule). Die Wahl verschiedener Antennenspulen-Anzapfungen mit oder ohne Drehkondensator (der auch hier in Kurz- oder Langschaltung angeschlossen werden kann), ferner die verschiedenen Spulenkopplungen und Schaltungsmöglichkeiten des Sekundärkreises lassen eine derartige Vielfalt von Schaltungskornbinationen zu, daß dieses Gerät nur dem erfahrenen Amateur zu empfehlen ist, der bei jedem Handgriff genau weiß, wie sich dieser auf die Schaltung auswirkt. Weitere Finessen dieser Schaltung sind der Ausgangsübertrager Ü (in Sparschaltung) zur besseren Anpassung des relativ niederohmigen Kopfhörers an den hochohmigen Schwingkreis und die Anschaltmöglichkeit eines µA-Meters zur Abstimmanzeige und messenden Verfolgung der Einstellmaßnahmen.
Überhaupt empfiehlt sich die Einschaltung eines µA-Meters (max. 30 bis 50 µA) in den Hörerkreis auch bei anderen Detektorempfängern mit mehr als zwei Bedienungsgriffen, da das Ohr für Lautstärkeunterschiede weniger empfindlich ist. (Die Lautstärke muß sich z.B. um mindestens 30 % ändern, um auch dem Ohr als Lautstärkeunterschied hörbar zu sein.)
Bei allen bisher besprochenen Schaltungen für Lang- und Mittelwellenernpfang können übliche Spulen mit Eisenkern ebensogut Verwendung finden. Allerdings ist bei ihnen, ebenso wie bei den zugehörigen Drehkondensatoren, die grundsätzlich nur mit Luftdielektrikum gewählt werden sollten, auf größte Verlustarmut zu achten. Daher vermeide man auch Spulensätze für mehrere Wellenbereiche, bei denen die Umschaltung durch Kurzschluß der nicht benötigten Windungen vorgenommen wird, weil hierbei unschöne Dämpfungen auftreten, die im Gegensatz zum Röhrenempfänger nicht durch Rückkopplung oder Nachverstärkung wettgemacht werden können.




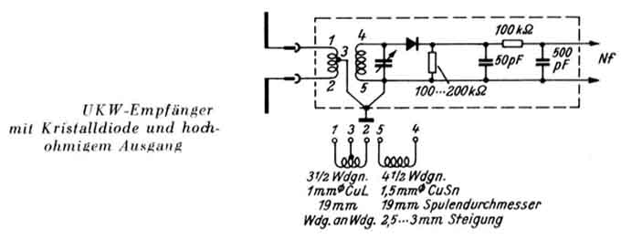
Die folgende Schaltung, die eine UKW-Detektorempfangsschaltung zeigt, ist der Ausgang hochohmiger gehalten, speziell um ihn an Röhrenstufen anzuschließen. Bei einer 60-Ohm-Antennenanpassung ist ein Spulenabstand von 1 mm empfehlenswert, während für eine 300-Ohm-Anpassung die Kopplung möglichst eng sein soll. Der erfahrene Fachmann wird entweder einen Topfkreis oder eine abgeschirmte Lecherleitung entsprechender Länge bevorzugen.


Als Kristalldioden für UKW-Empfänger haben sich die folgenden als besonders gut geeignet erwiesen:
GW 103   OA 70   OA 73   OA 81   OA 150   RL 32g    RL 132   1 N 23    1 N 60    1 N 76-78

Zurück zur Hauptseite